BCR-348R冷冻人血清中孕酮标准物质(高水平)使用报告—BCR-348R的加工和认证,BCR-348L是人血清中内源性孕酮水平约为8µgl/L的参考物质。将材料冻干并保存在玻璃安瓿中。该材料已被证明在-20°C下储存24个月是均匀稳定的。重构BCR-348R样品中孕酮的质量浓度经认证为8.5µg/L(26.9 nmol/L),扩展标准不确定度值(UCRM)为0.4µg/L(1.2 nmol/L,k=2)。用于表征的测量程序基于ID-GC-MS(气相色谱-同位素稀释质谱)。参考材料旨在用于使用ID-GC-MS对孕酮测量程序进行准确性评估和质量控制,并验证使用该技术的不同实验室结果的可比性。如果使用ID-GC-MS参考方法进行比较,证明了该材料的可交换性,则该材料也可用于体外诊断设备的校准或质量控制。
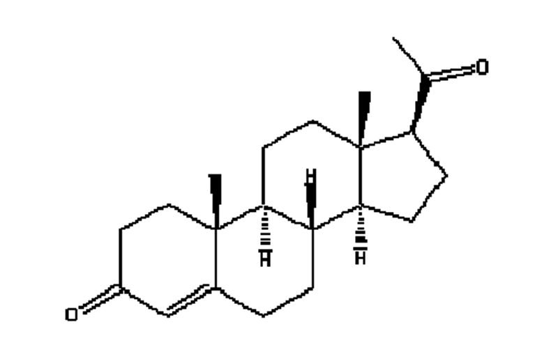
孕酮或孕-4-烯-3,20-二酮是一种21碳的类固醇激素,其结构式如下:

图1。孕酮的化学结构。摩尔质量:314.47 g/mol。CAS编号:[57-83-0]
冷冻人血清中孕酮标准物质(高水平)它像其他类固醇激素一样来源于胆固醇。在育龄期的非孕妇中,它主要是在黄体生成素刺激下在卵巢中产生的。在整个卵泡期,孕酮浓度非常低(低于1µg/L)。排卵和破裂卵泡转化为黄体后,孕酮的产生显著增加(黄体中期峰值为9-25µg/L)。如果黄体中期孕酮浓度低于3µg/L,则不太可能发生排卵。该激素负责诱导雌激素激活子宫内膜的分泌活动,为受精卵的植入做准备。在怀孕期间,胎盘在人绒毛膜促性腺激素刺激下继续产生孕酮。如果没有受孕,孕酮浓度会降低,从而引发受激素影响的子宫内膜的排斥反应,即月经出血。孕酮产量的下降是晚期黄体对黄体生成激素敏感性降低的结果。
因此,血液中孕酮的具体定量指标是评估女性不孕(排卵不足)和黄体或胎盘功能的充分性。由于这种激素的生理浓度较低,其定量测定需要灵敏的分析方法。已经开发了多种方法,包括双同位素衍生物形成、竞争性蛋白质结合和气液相色谱法。在常规分析的速度和简单性方面,这些方法逐渐被更方便的技术完全取代:免疫测定(酶、荧光、发光、放射性)。
然而,通过免疫测定程序获得的结果并不具有内在的可靠性。正如实验室外部质量评估期间经常证明的那样,由于不同的固有特性,不同商业免疫测定对同一样本获得的结果往往不一致。显然,8因此非常需要协调黄体酮的体外诊断医疗器械(IVDMD)。实现这一目标的最佳方法是开发能够提供可追溯到测量单位的结果的IVDMD,而不管测量程序如何。这需要建立一个连贯的测量基础设施,包括证明准确性的参考测量程序和认证的参考材料(CRM),随后实施IVDMD的标准化和验证,以及具有参考方法目标值的可交换的内部和外部质量控制材料的可用性。在欧盟内部,IVDMD指令98/79/EC要求计量可追溯性,随附的ISO/EN 17511标准为如何遵守该立法提供了指导。
本公司的优势品牌有:美国NIST标准品、英国NIBSC(WHO国际标准品)、日本药典JP、加拿大NRC、Cerilliant、加拿大TRC、欧洲药典EP、英国药典BP、美国药典USP、欧洲标准局ERM、加拿大Wellington等。欢迎咨询订购。
